6-Ordinary Differential Equations
总结:


常微分方程是一个包含导数的方程。
形如,一阶常微分方程
6.1 INITIAL VALUE PROBLEMS¶
一阶常微分方程的initial value problem初值问题是该方程与特定区间a≤t≤b上的初始条件:

6.1.1 Euler’s Method¶


6.1.2 Existence, uniqueness, and continuity for solutions¶
本节为计算初值问题的方法提供了一些理论背景。在我们开始计算一个问题的解之前,知道这一点是有帮助的 (1)解决方案存在, (2)只有一个解决方案






6.1.3 First-order linear equations¶
一类易于求解的特殊常微分方程提供了一套方便的说明性例子。
它们是一阶方程,其y变量的右侧是线性的。考虑初值问题
结论

带公式
Separation of variables


6.2 ANALYSIS OF IVP SOLVERS¶
6.2.1 Local and global truncation error¶





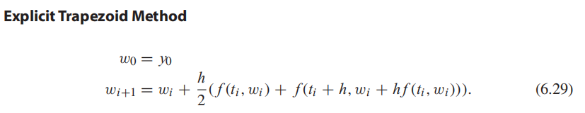
6.2.2 The explicit Trapezoid Method¶






6.2.3 Taylor Methods¶

 |
|---|
¶


6.3 SYSTEMS OF ORDINARY DIFFERENTIAL EQUATIONS¶
微分方程的阶数是指在该方程中出现的最高阶导数。一阶系统具有这样的形式


6.3.1 Higher order equations
6.3.1 Higher order equations



6.3.2 Computer simulation: the pendulum
6.3.3 Computer simulation: orbital mechanics
6.4 Runge-Kutta Methods and applications¶
6.4.1 The Runge–Kutta family¶




6.5 VARIABLE STEP-SIZE METHODS
6.6 Implicit Methods and Stiff Equations¶






